Упражнение 26.31 ГДЗ Мерзляк 10 класс Углубленный уровень (Алгебра)
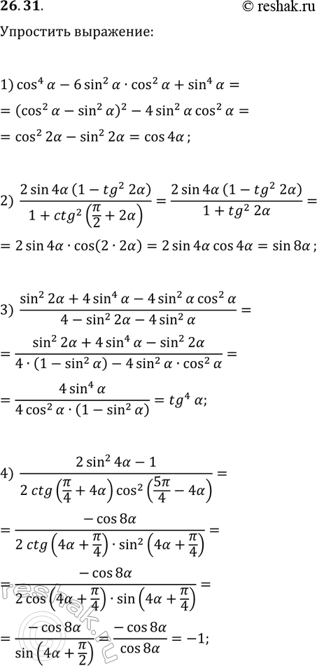
26.31. Упростите выражение: 1) cos^4(?)-6sin^2(?)cos^2(?)+sin^4(?); 2) 2sin(4?)(1-tg^2(2?))/(1+ctg^2(?/2+2?); 3) (sin^2(2?)+4sin^4(?)-4sin^2(?)cos^2(?))/(4-sin^2(2?)-4sin^2(?)); 4) (2sin^2(4?)-1)/(2ctg(?/4+4?)cos^2(5?/4-4?)). *Цитирирование задания со ссылкой на учебник производится исключительно в учебных целях для лучшего понимания разбора решения задания.

Ниже вариант решения задания из учебника Мерзляк, Номировский, Поляков 10 класс, Просвещение:
26.31. Упростите выражение:
1) cos^4(?)-6sin^2(?)cos^2(?)+sin^4(?);
2) 2sin(4?)(1-tg^2(2?))/(1+ctg^2(?/2+2?);
3) (sin^2(2?)+4sin^4(?)-4sin^2(?)cos^2(?))/(4-sin^2(2?)-4sin^2(?));
4) (2sin^2(4?)-1)/(2ctg(?/4+4?)cos^2(5?/4-4?)).
