Упражнение 26.33 ГДЗ Мерзляк 10 класс Углубленный уровень (Алгебра)
26.33. Докажите, что: 1) sin(18°)cos(36°)=1/4; 2) 8cos(?/9)cos(2?/9)cos(4?/9)=1; 3) cos(?/7)cos(4?/7)cos(5?/7)=1/8; 4) sin(6°)sin(42°)cos(12°)cos(24°)=1/16. *Цитирирование задания со ссылкой на учебник производится исключительно в учебных целях для лучшего понимания разбора решения задания.


Ниже вариант решения задания из учебника Мерзляк, Номировский, Поляков 10 класс, Просвещение:
26.33. Докажите, что:
1) sin(18°)cos(36°)=1/4;
2) 8cos(?/9)cos(2?/9)cos(4?/9)=1;
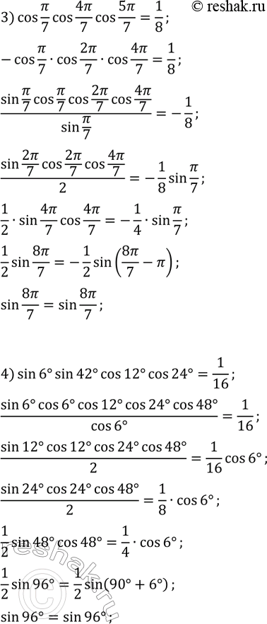
3) cos(?/7)cos(4?/7)cos(5?/7)=1/8;
4) sin(6°)sin(42°)cos(12°)cos(24°)=1/16.
