Упражнение 26.32 ГДЗ Мерзляк 10 класс Углубленный уровень (Алгебра)
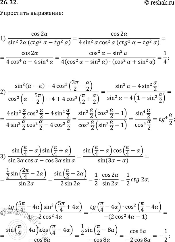
26.32. Упростите выражение: 1) cos(2?)/(sin^2(2?)(ctg^2(?)-tg^2(?))); 2) (sin^2(?-?)-4cos^2(3?/2-?/2))/(cos^2(?-5?/2)-4+4cos^2(?/2+?/2)); 3) sin(?/4-?)sin(?/4+?)/(sin(3?)cos(?)-cos(3?)sin(?)); 4) tg(5?/4-4?)sin^2(5?/4+4?)/(1-2cos^2(4?)). *Цитирирование задания со ссылкой на учебник производится исключительно в учебных целях для лучшего понимания разбора решения задания.

Ниже вариант решения задания из учебника Мерзляк, Номировский, Поляков 10 класс, Просвещение:
26.32. Упростите выражение:
1) cos(2?)/(sin^2(2?)(ctg^2(?)-tg^2(?)));
2) (sin^2(?-?)-4cos^2(3?/2-?/2))/(cos^2(?-5?/2)-4+4cos^2(?/2+?/2));
3) sin(?/4-?)sin(?/4+?)/(sin(3?)cos(?)-cos(3?)sin(?));
4) tg(5?/4-4?)sin^2(5?/4+4?)/(1-2cos^2(4?)).
