Упражнение 26.34 ГДЗ Мерзляк 10 класс Углубленный уровень (Алгебра)
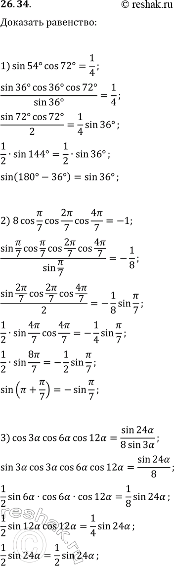
26.34. Докажите, что: 1) sin(54°)cos(72°)=1/4; 2) 8cos(?/7)cos(2?/7)cos(4?/7)=-1; 3) cos(3?)cos(6?)cos(12?)=sin(24?)/(8sin(3?)). *Цитирирование задания со ссылкой на учебник производится исключительно в учебных целях для лучшего понимания разбора решения задания.

Ниже вариант решения задания из учебника Мерзляк, Номировский, Поляков 10 класс, Просвещение:
26.34. Докажите, что:
1) sin(54°)cos(72°)=1/4;
2) 8cos(?/7)cos(2?/7)cos(4?/7)=-1;
3) cos(3?)cos(6?)cos(12?)=sin(24?)/(8sin(3?)).
