Упражнение 26.45 ГДЗ Мерзляк 10 класс Углубленный уровень (Алгебра)
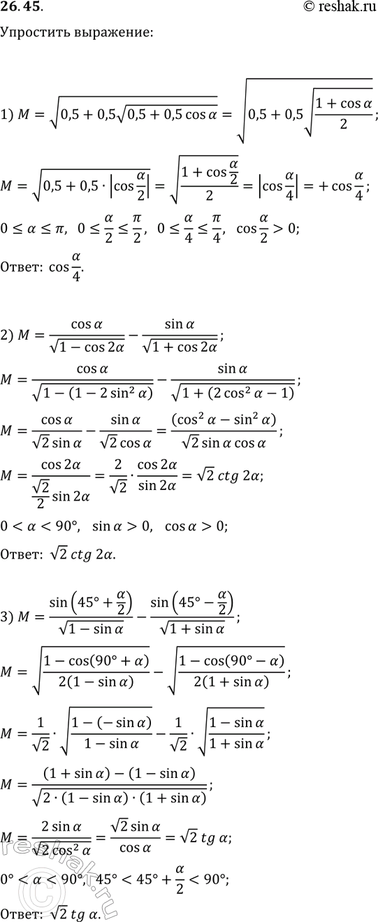
26.45. Упростите выражение: 1) v(0,5+0,5v(0,5+0,5cos(?))), если 0????; 2) cos(?)/v(1-cos(2?))-sin(?)/v(1+cos(2?)), если 0° 3) sin(45°+?/2)/v(1-sin(?))-sin(45°-?/2)/v(1+sin(?)), если 0° *Цитирирование задания со ссылкой на учебник производится исключительно в учебных целях для лучшего понимания разбора решения задания.
Ниже вариант решения задания из учебника Мерзляк, Номировский, Поляков 10 класс, Просвещение:
26.45. Упростите выражение:
1) v(0,5+0,5v(0,5+0,5cos(?))), если 0????;
2) cos(?)/v(1-cos(2?))-sin(?)/v(1+cos(2?)), если 0°
3) sin(45°+?/2)/v(1-sin(?))-sin(45°-?/2)/v(1+sin(?)), если 0°

