Упражнение 26.41 ГДЗ Мерзляк 10 класс Углубленный уровень (Алгебра)
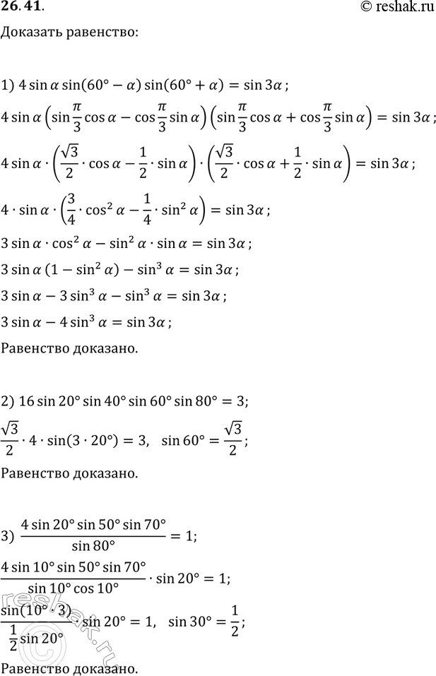
26.41. Докажите, что: 1) 4sin(?)sin(60°-?)sin(60°+?)=sin(3?); 2) 16sin(20°)sin(40°)sin(60°)sin(80°)=3; 3) (4sin(20°)sin(50°)sin(70°))/sin(80°)=1. *Цитирирование задания со ссылкой на учебник производится исключительно в учебных целях для лучшего понимания разбора решения задания.

Ниже вариант решения задания из учебника Мерзляк, Номировский, Поляков 10 класс, Просвещение:
26.41. Докажите, что:
1) 4sin(?)sin(60°-?)sin(60°+?)=sin(3?);
2) 16sin(20°)sin(40°)sin(60°)sin(80°)=3;
3) (4sin(20°)sin(50°)sin(70°))/sin(80°)=1.
