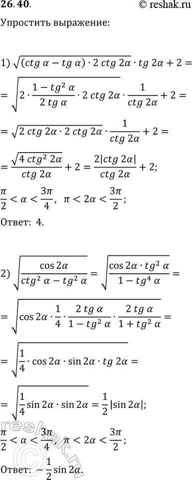
Упражнение 26.40 ГДЗ Мерзляк 10 класс Углубленный уровень (Алгебра)
26.40. Упростите выражение: 1) v((ctg(?)-tg(?))2ctg(2?))·tg(2?)+2, если ?/2 2) v(cos(2?)/(ctg^2(?)-tg^2(?))), если ?/2 *Цитирирование задания со ссылкой на учебник производится исключительно в учебных целях для лучшего понимания разбора решения задания.
Ниже вариант решения задания из учебника Мерзляк, Номировский, Поляков 10 класс, Просвещение:
26.40. Упростите выражение:
1) v((ctg(?)-tg(?))2ctg(2?))·tg(2?)+2, если ?/2
2) v(cos(2?)/(ctg^2(?)-tg^2(?))), если ?/2

