Упражнение 29.6 ГДЗ Мерзляк 10 класс Углубленный уровень (Алгебра)
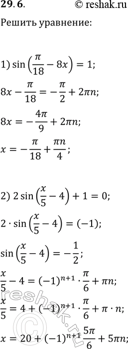
29.6. Решите уравнение: 1) sin(?/18-8x)=1; 2) 2sin(x/5-4)+1=0. *Цитирирование задания со ссылкой на учебник производится исключительно в учебных целях для лучшего понимания разбора решения задания.

Ниже вариант решения задания из учебника Мерзляк, Номировский, Поляков 10 класс, Просвещение:
29.6. Решите уравнение:
1) sin(?/18-8x)=1;
2) 2sin(x/5-4)+1=0.
