Упражнение 32.1 ГДЗ Мерзляк 10 класс Углубленный уровень (Алгебра)
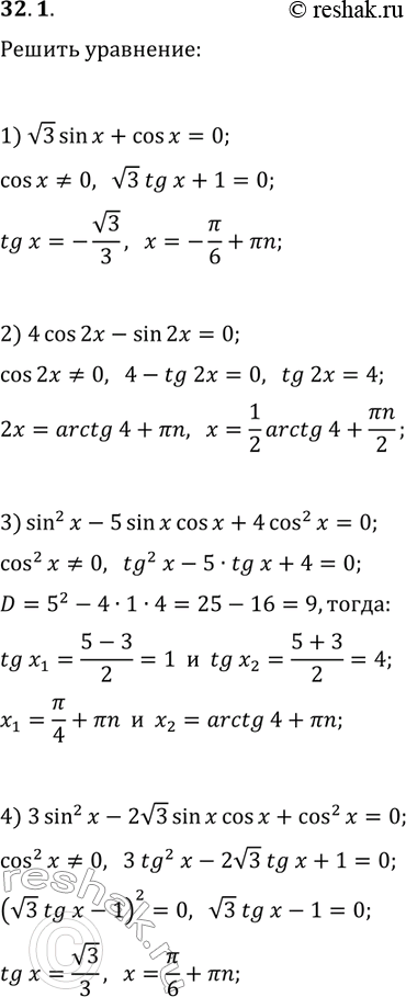
32.1. Решите уравнение: 1) v3sin(x)+cos(x)=0; 3) sin^2(x)-5sin(x)cos(x)+4cos^2(x)=0; 2) 4cos(2x)-sin(2x)=0; 4) 3sin^2(x)-2v3sin(x)cos(x)+cos^2(x)=0. *Цитирирование задания со ссылкой на учебник производится исключительно в учебных целях для лучшего понимания разбора решения задания.

Ниже вариант решения задания из учебника Мерзляк, Номировский, Поляков 10 класс, Просвещение:
32.1. Решите уравнение:
1) v3sin(x)+cos(x)=0; 3) sin^2(x)-5sin(x)cos(x)+4cos^2(x)=0;
2) 4cos(2x)-sin(2x)=0; 4) 3sin^2(x)-2v3sin(x)cos(x)+cos^2(x)=0.
