Упражнение 32.6 ГДЗ Мерзляк 10 класс Углубленный уровень (Алгебра)
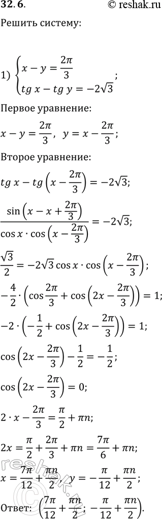
32.6. Решите систему уравнений: 1) {x-y=2?/3, tg(x)-tg(y)=-2v3}; 2) {x-y=?/6, ctg(x)ctg(y)=1}. *Цитирирование задания со ссылкой на учебник производится исключительно в учебных целях для лучшего понимания разбора решения задания.


Ниже вариант решения задания из учебника Мерзляк, Номировский, Поляков 10 класс, Просвещение:
32.6. Решите систему уравнений:
1) {x-y=2?/3, tg(x)-tg(y)=-2v3};
2) {x-y=?/6, ctg(x)ctg(y)=1}.
