Упражнение 32.2 ГДЗ Мерзляк 10 класс Углубленный уровень (Алгебра)
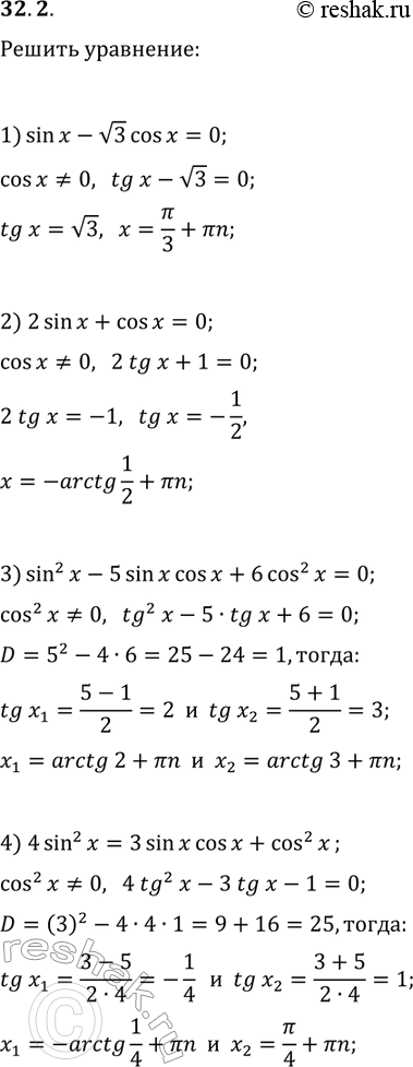
32.2. Решите уравнение: 1) sin(x)-v3cos(x)=0; 3) sin^2(x)-5sin(x)cos(x)+6cos^2(x)=0; 2) 2sin(x)+cos(x)=0; 4) 4sin^2(x)=3sin(x)cos(x)+cos^2(x). *Цитирирование задания со ссылкой на учебник производится исключительно в учебных целях для лучшего понимания разбора решения задания.

Ниже вариант решения задания из учебника Мерзляк, Номировский, Поляков 10 класс, Просвещение:
32.2. Решите уравнение:
1) sin(x)-v3cos(x)=0; 3) sin^2(x)-5sin(x)cos(x)+6cos^2(x)=0;
2) 2sin(x)+cos(x)=0; 4) 4sin^2(x)=3sin(x)cos(x)+cos^2(x).
