Упражнение 32.4 ГДЗ Мерзляк 10 класс Углубленный уровень (Алгебра)
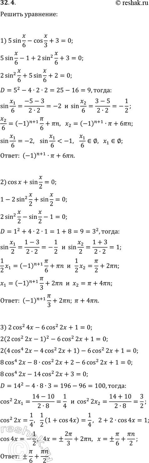
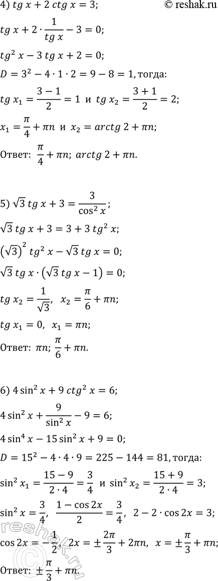
32.4. Решите уравнение: 1) 5sin(x/6)-cos(x/3)+3=0; 4) tg(x)+2ctg(x)=3; 2) cos(x)+sin(x/2)=0; 5) v3tg(x)+3=3/cos^2(x); 3) 2cos^2(4x)-6cos^2(2x)+1=0; 6) 4sin^2(x)+9ctg^2(x)=6. *Цитирирование задания со ссылкой на учебник производится исключительно в учебных целях для лучшего понимания разбора решения задания.


Ниже вариант решения задания из учебника Мерзляк, Номировский, Поляков 10 класс, Просвещение:
32.4. Решите уравнение:
1) 5sin(x/6)-cos(x/3)+3=0; 4) tg(x)+2ctg(x)=3;
2) cos(x)+sin(x/2)=0; 5) v3tg(x)+3=3/cos^2(x);
3) 2cos^2(4x)-6cos^2(2x)+1=0; 6) 4sin^2(x)+9ctg^2(x)=6.
