Упражнение 32.3 ГДЗ Мерзляк 10 класс Углубленный уровень (Алгебра)
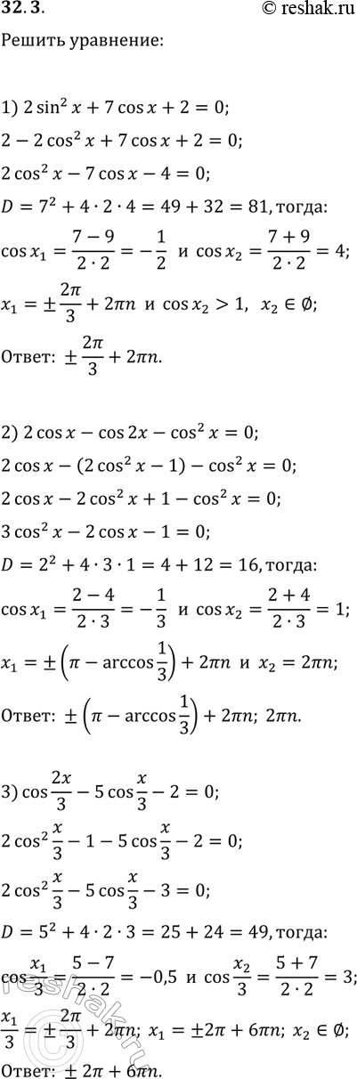
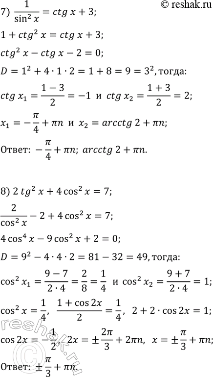
32.3. Решите уравнение: 1) 2sin^2(x)+7cos(x)+2=0; 5) 8sin^2(3x)+4sin^2(6x)=5; 2) 2cos(x)-cos(2x)-cos^2(x)=0; 6) 4tg(5x)+3ctg(5x)=7; 3) cos(2x/3)-5cos(x/3)-2=0; 7) 1/sin^2(x)=ctg(x)+3; 4) cos(2x)-cos^2(x)-v2sin(x)=0; 8) 2tg^2(x)+4cos^2(x)=7. *Цитирирование задания со ссылкой на учебник производится исключительно в учебных целях для лучшего понимания разбора решения задания.



Ниже вариант решения задания из учебника Мерзляк, Номировский, Поляков 10 класс, Просвещение:
32.3. Решите уравнение:
1) 2sin^2(x)+7cos(x)+2=0; 5) 8sin^2(3x)+4sin^2(6x)=5;
2) 2cos(x)-cos(2x)-cos^2(x)=0; 6) 4tg(5x)+3ctg(5x)=7;
3) cos(2x/3)-5cos(x/3)-2=0; 7) 1/sin^2(x)=ctg(x)+3;
4) cos(2x)-cos^2(x)-v2sin(x)=0; 8) 2tg^2(x)+4cos^2(x)=7.
