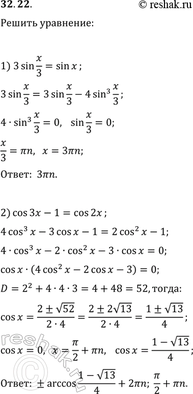
Упражнение 32.22 ГДЗ Мерзляк 10 класс Углубленный уровень (Алгебра)
32.22. Решите уравнение: 1) 3sin(x/3)=sin(x); 2) cos(3x)-1=cos(2x). *Цитирирование задания со ссылкой на учебник производится исключительно в учебных целях для лучшего понимания разбора решения задания.

Ниже вариант решения задания из учебника Мерзляк, Номировский, Поляков 10 класс, Просвещение:
32.22. Решите уравнение:
1) 3sin(x/3)=sin(x);
2) cos(3x)-1=cos(2x).
