Упражнение 32.19 ГДЗ Мерзляк 10 класс Углубленный уровень (Алгебра)
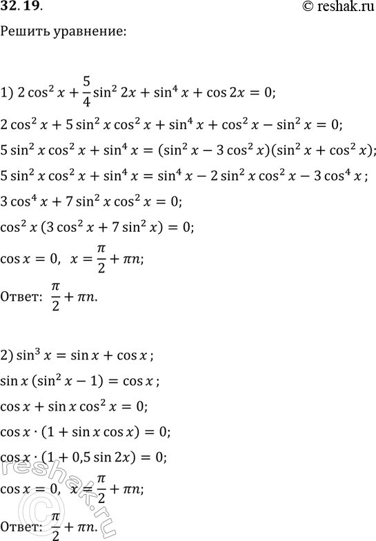
32.19. Решите уравнение: 1) 2cos^2(x)+5/4sin^2(2x)+sin^4(x)+cos(2x)=0; 2) sin^3(x)=sin(x)+cos(x). *Цитирирование задания со ссылкой на учебник производится исключительно в учебных целях для лучшего понимания разбора решения задания.

Ниже вариант решения задания из учебника Мерзляк, Номировский, Поляков 10 класс, Просвещение:
32.19. Решите уравнение:
1) 2cos^2(x)+5/4sin^2(2x)+sin^4(x)+cos(2x)=0;
2) sin^3(x)=sin(x)+cos(x).
