Упражнение 32.18 ГДЗ Мерзляк 10 класс Углубленный уровень (Алгебра)
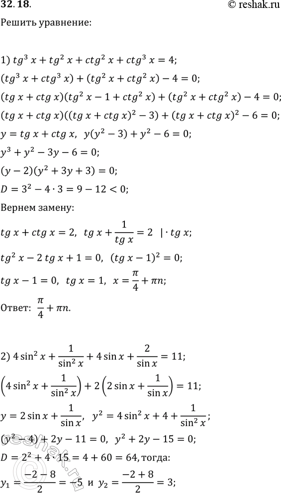
32.18. Решите уравнение: 1) tg^3(x)+tg^2(x)+ctg^2(x)+ctg^3(x)=4; 2) 4sin^2(x)+1/sin^2(x)+4sin(x)+2/sin(x)=11. *Цитирирование задания со ссылкой на учебник производится исключительно в учебных целях для лучшего понимания разбора решения задания.


Ниже вариант решения задания из учебника Мерзляк, Номировский, Поляков 10 класс, Просвещение:
32.18. Решите уравнение:
1) tg^3(x)+tg^2(x)+ctg^2(x)+ctg^3(x)=4;
2) 4sin^2(x)+1/sin^2(x)+4sin(x)+2/sin(x)=11.
