Упражнение 33.11 ГДЗ Мерзляк 10 класс Углубленный уровень (Алгебра)
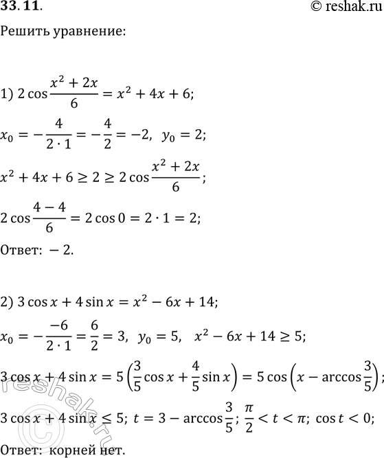
33.11. Решите уравнение: 1) 2cos((x^2+2x)/6)=x^2+4x+6; 2) 3cos(x)+4sin(x)=x^2-6x+14. *Цитирирование задания со ссылкой на учебник производится исключительно в учебных целях для лучшего понимания разбора решения задания.

Ниже вариант решения задания из учебника Мерзляк, Номировский, Поляков 10 класс, Просвещение:
33.11. Решите уравнение:
1) 2cos((x^2+2x)/6)=x^2+4x+6;
2) 3cos(x)+4sin(x)=x^2-6x+14.
