Упражнение 33.8 ГДЗ Мерзляк 10 класс Углубленный уровень (Алгебра)
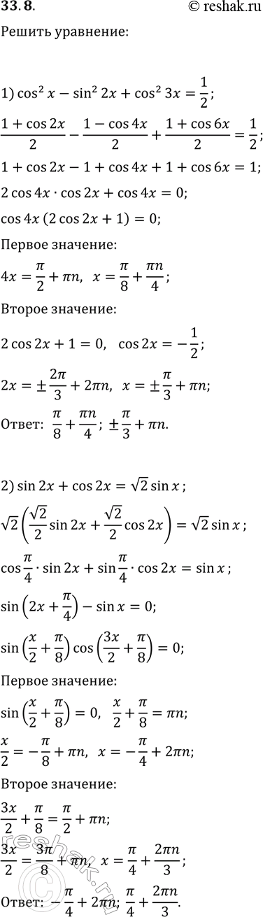
33.8. Решите уравнение: 1) cos^2(x)-sin^2(2x)+cos^2(3x)=1/2; 2) sin(2x)+cos(2x)=v2sin(x); 3) cos^2(x)+cos^2(2x)=cos^2(3x)+cos^2(4x); 4) sin(6x)=2cos(3?/2+2x). *Цитирирование задания со ссылкой на учебник производится исключительно в учебных целях для лучшего понимания разбора решения задания.


Ниже вариант решения задания из учебника Мерзляк, Номировский, Поляков 10 класс, Просвещение:
33.8. Решите уравнение:
1) cos^2(x)-sin^2(2x)+cos^2(3x)=1/2;
2) sin(2x)+cos(2x)=v2sin(x);
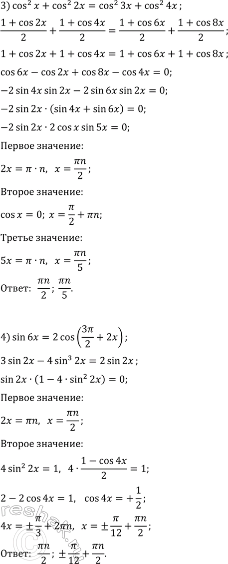
3) cos^2(x)+cos^2(2x)=cos^2(3x)+cos^2(4x);
4) sin(6x)=2cos(3?/2+2x).
