Упражнение 33.10 ГДЗ Мерзляк 10 класс Углубленный уровень (Алгебра)
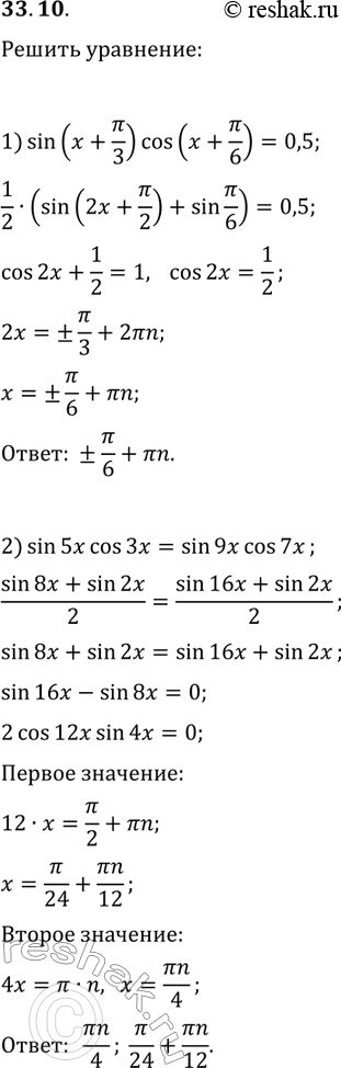
33.10. Решите уравнение: 1) sin(x+?/3)cos(x+?/6)=0,5; 2) sin(5x)cos(3x)=sin(9x)cos(7x). *Цитирирование задания со ссылкой на учебник производится исключительно в учебных целях для лучшего понимания разбора решения задания.

Ниже вариант решения задания из учебника Мерзляк, Номировский, Поляков 10 класс, Просвещение:
33.10. Решите уравнение:
1) sin(x+?/3)cos(x+?/6)=0,5;
2) sin(5x)cos(3x)=sin(9x)cos(7x).
