Упражнение 33.7 ГДЗ Мерзляк 10 класс Углубленный уровень (Алгебра)
33.7. Решите уравнение: 1) sin^2(x/2)+sin^2(3x/2)=1; 4) sin(x)+sin(3x)=4cos^2(x); 2) cos(2x)-cos(8x)+cos(6x)=1; 5) cos(2x)=v2(cos(x)-sin(x)); 3) 1-cos(x)=tg(x)-sin(x); 6) sin(3x)+v3cos(3x)=2cos(5x). *Цитирирование задания со ссылкой на учебник производится исключительно в учебных целях для лучшего понимания разбора решения задания.



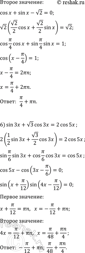
Ниже вариант решения задания из учебника Мерзляк, Номировский, Поляков 10 класс, Просвещение:
33.7. Решите уравнение:
1) sin^2(x/2)+sin^2(3x/2)=1; 4) sin(x)+sin(3x)=4cos^2(x);
2) cos(2x)-cos(8x)+cos(6x)=1; 5) cos(2x)=v2(cos(x)-sin(x));
3) 1-cos(x)=tg(x)-sin(x); 6) sin(3x)+v3cos(3x)=2cos(5x).
