Упражнение 33.18 ГДЗ Мерзляк 10 класс Углубленный уровень (Алгебра)
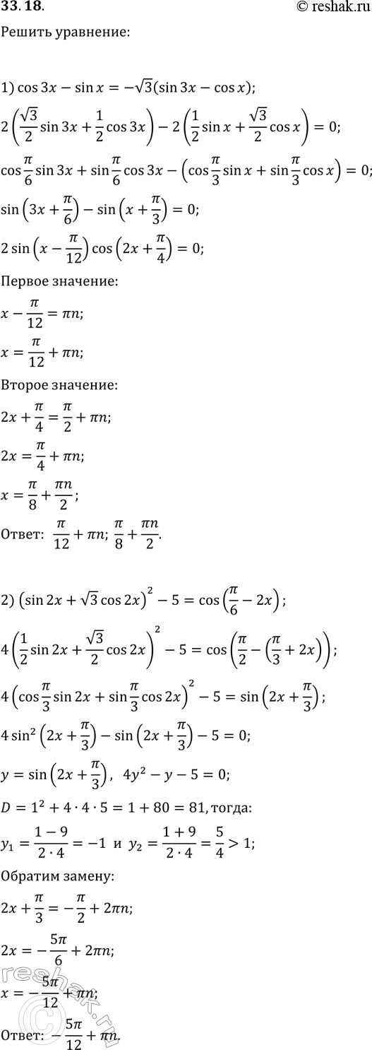
33.18. Решите уравнение: 1) cos(3x)-sin(x)=-v3(sin(3x)-cos(x)); 2) (sin(2x)+v3cos(2x))^2-5=cos(?/6-2x). *Цитирирование задания со ссылкой на учебник производится исключительно в учебных целях для лучшего понимания разбора решения задания.

Ниже вариант решения задания из учебника Мерзляк, Номировский, Поляков 10 класс, Просвещение:
33.18. Решите уравнение:
1) cos(3x)-sin(x)=-v3(sin(3x)-cos(x));
2) (sin(2x)+v3cos(2x))^2-5=cos(?/6-2x).
