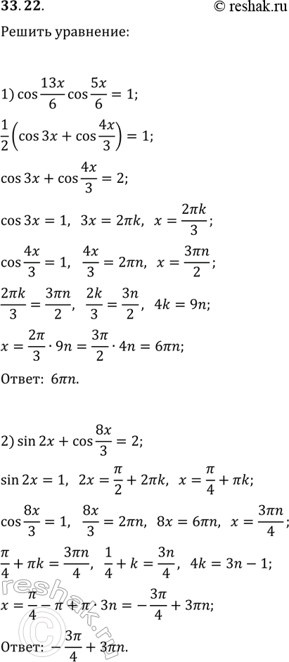
Упражнение 33.22 ГДЗ Мерзляк 10 класс Углубленный уровень (Алгебра)
33.22. Решите уравнение: 1) cos(13x/6)cos(5x/6)=1; 2) sin(2x)+cos(8x/3)=2. *Цитирирование задания со ссылкой на учебник производится исключительно в учебных целях для лучшего понимания разбора решения задания.

Ниже вариант решения задания из учебника Мерзляк, Номировский, Поляков 10 класс, Просвещение:
33.22. Решите уравнение:
1) cos(13x/6)cos(5x/6)=1;
2) sin(2x)+cos(8x/3)=2.
