Упражнение 33.21 ГДЗ Мерзляк 10 класс Углубленный уровень (Алгебра)
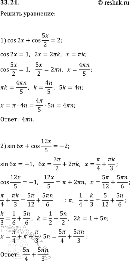
33.21. Решите уравнение: 1) cos(2x)+cos(5x/2)=2; 2) sin(6x)+cos(12x/5)=-2. *Цитирирование задания со ссылкой на учебник производится исключительно в учебных целях для лучшего понимания разбора решения задания.

Ниже вариант решения задания из учебника Мерзляк, Номировский, Поляков 10 класс, Просвещение:
33.21. Решите уравнение:
1) cos(2x)+cos(5x/2)=2;
2) sin(6x)+cos(12x/5)=-2.
