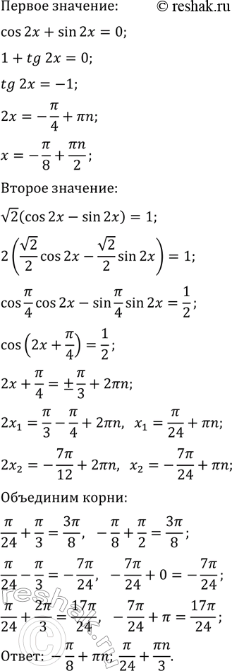
Упражнение 33.20 ГДЗ Мерзляк 10 класс Углубленный уровень (Алгебра)
33.20. Решите уравнение: 1) sin^3(4x)+cos^3(4x)=1-0,5sin(8x); 2) cos(2x)+sin(2x)=v2(cos^4(2x)-sin^4(2x)). *Цитирирование задания со ссылкой на учебник производится исключительно в учебных целях для лучшего понимания разбора решения задания.


Ниже вариант решения задания из учебника Мерзляк, Номировский, Поляков 10 класс, Просвещение:
33.20. Решите уравнение:
1) sin^3(4x)+cos^3(4x)=1-0,5sin(8x);
2) cos(2x)+sin(2x)=v2(cos^4(2x)-sin^4(2x)).
