Упражнение 33.23 ГДЗ Мерзляк 10 класс Углубленный уровень (Алгебра)
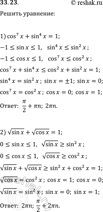
33.23. Решите уравнение: 1) cos^7(x)+sin^4(x)=1; 2) vsin(x)+vcos(x)=1. *Цитирирование задания со ссылкой на учебник производится исключительно в учебных целях для лучшего понимания разбора решения задания.

Ниже вариант решения задания из учебника Мерзляк, Номировский, Поляков 10 класс, Просвещение:
33.23. Решите уравнение:
1) cos^7(x)+sin^4(x)=1;
2) vsin(x)+vcos(x)=1.
