Упражнение 34.1 ГДЗ Мерзляк 10 класс Углубленный уровень (Алгебра)
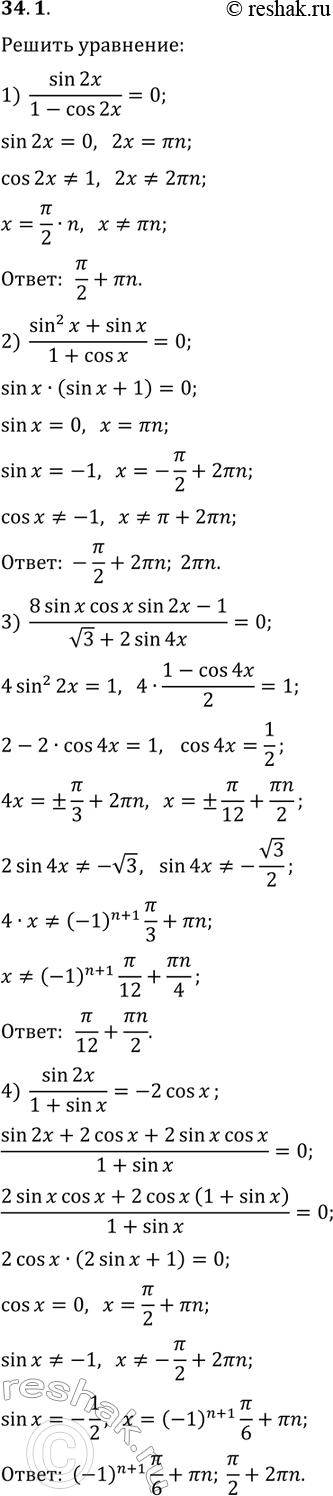
34.1. Решите уравнение: 1) sin(2x)/(1-cos(2x))=0; 2) (sin^2(x)+sin(x))/(1+cos(x))=0; 3) (8sin(x)cos(x)sin(2x)-1)/(v3+2sin(4x))=0; 4) sin(2x)/(1+sin(x))=-2cos(x). *Цитирирование задания со ссылкой на учебник производится исключительно в учебных целях для лучшего понимания разбора решения задания.

Ниже вариант решения задания из учебника Мерзляк, Номировский, Поляков 10 класс, Просвещение:
34.1. Решите уравнение:
1) sin(2x)/(1-cos(2x))=0;
2) (sin^2(x)+sin(x))/(1+cos(x))=0;
3) (8sin(x)cos(x)sin(2x)-1)/(v3+2sin(4x))=0;
4) sin(2x)/(1+sin(x))=-2cos(x).
