Упражнение 33.31 ГДЗ Мерзляк 10 класс Углубленный уровень (Алгебра)
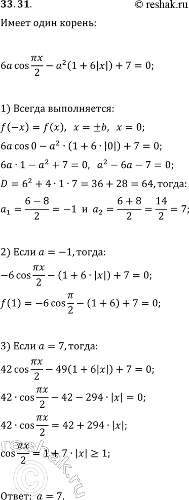
33.31. При каких значениях параметра а уравнение 6a cos(?x/2)-a^2 (1+6|x|)+7=0 имеет единственный корень? *Цитирирование задания со ссылкой на учебник производится исключительно в учебных целях для лучшего понимания разбора решения задания.

Ниже вариант решения задания из учебника Мерзляк, Номировский, Поляков 10 класс, Просвещение:
33.31. При каких значениях параметра а уравнение 6a cos(?x/2)-a^2 (1+6|x|)+7=0 имеет единственный корень?
