Упражнение 34.4 ГДЗ Мерзляк 10 класс Углубленный уровень (Алгебра)
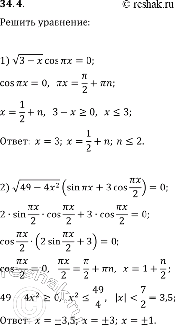
34.4. Решите уравнение: 1) v(3-x)cos(?x)=0; 2) v(49-4x^2)(sin(?x)+3cos(?x/2))=0. *Цитирирование задания со ссылкой на учебник производится исключительно в учебных целях для лучшего понимания разбора решения задания.

Ниже вариант решения задания из учебника Мерзляк, Номировский, Поляков 10 класс, Просвещение:
34.4. Решите уравнение:
1) v(3-x)cos(?x)=0;
2) v(49-4x^2)(sin(?x)+3cos(?x/2))=0.
