Упражнение 34.5 ГДЗ Мерзляк 10 класс Углубленный уровень (Алгебра)
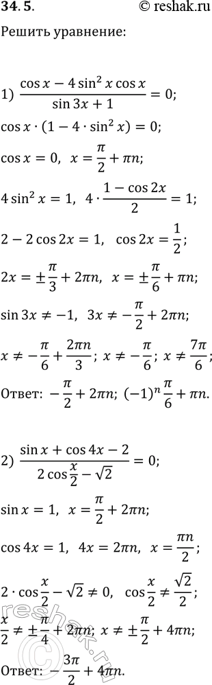
34.5. Решите уравнение: 1) (cos(x)-4sin^2(x)cos(x))/(sin(3x)+1)=0; 2) (sin(x)+cos(4x)-2)/(2cos(x/2)-v2)=0. *Цитирирование задания со ссылкой на учебник производится исключительно в учебных целях для лучшего понимания разбора решения задания.

Ниже вариант решения задания из учебника Мерзляк, Номировский, Поляков 10 класс, Просвещение:
34.5. Решите уравнение:
1) (cos(x)-4sin^2(x)cos(x))/(sin(3x)+1)=0;
2) (sin(x)+cos(4x)-2)/(2cos(x/2)-v2)=0.
