Упражнение 33.32 ГДЗ Мерзляк 10 класс Углубленный уровень (Алгебра)
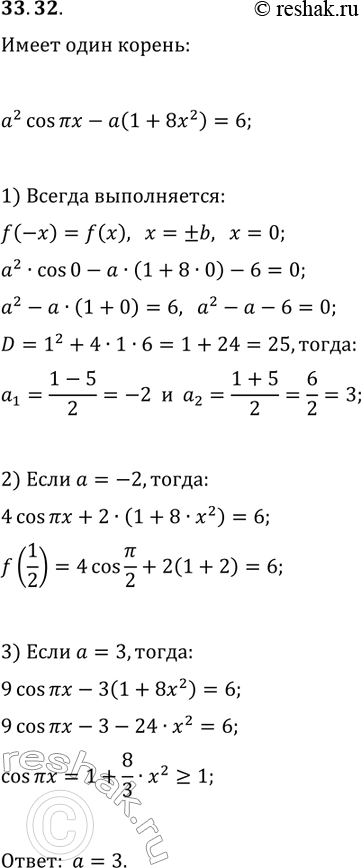
33.32. При каких значениях параметра а уравнение a^2 cos(?x)-a(1+8x^2)=6 имеет единственный корень? *Цитирирование задания со ссылкой на учебник производится исключительно в учебных целях для лучшего понимания разбора решения задания.

Ниже вариант решения задания из учебника Мерзляк, Номировский, Поляков 10 класс, Просвещение:
33.32. При каких значениях параметра а уравнение a^2 cos(?x)-a(1+8x^2)=6 имеет единственный корень?
