Упражнение 34.7 ГДЗ Мерзляк 10 класс Углубленный уровень (Алгебра)
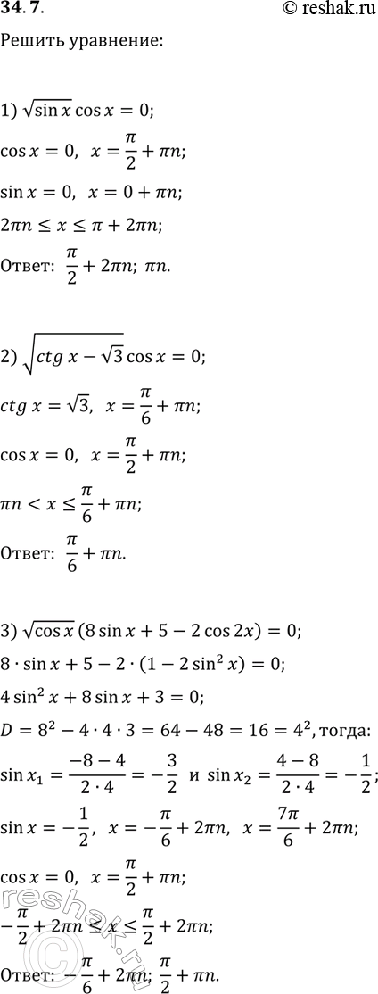
34.7. Решите уравнение: 1) vsin(x) cos(x)=0; 2) v(ctg(x)-v3) cos(x)=0; 3) vcos(x) (8sin(x)+5-2cos(2x))=0. *Цитирирование задания со ссылкой на учебник производится исключительно в учебных целях для лучшего понимания разбора решения задания.

Ниже вариант решения задания из учебника Мерзляк, Номировский, Поляков 10 класс, Просвещение:
34.7. Решите уравнение:
1) vsin(x) cos(x)=0;
2) v(ctg(x)-v3) cos(x)=0;
3) vcos(x) (8sin(x)+5-2cos(2x))=0.
