Упражнение 34.8 ГДЗ Мерзляк 10 класс Углубленный уровень (Алгебра)
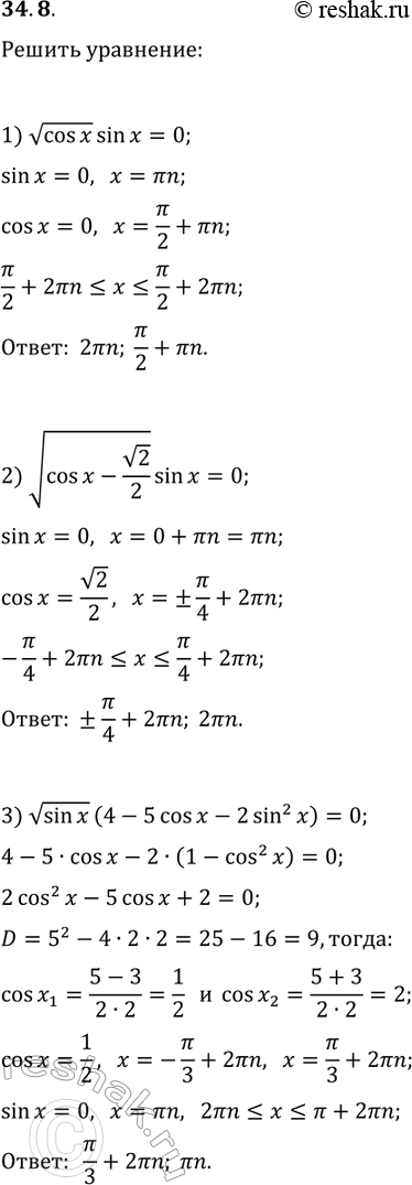
34.8. Решите уравнение: 1) vcos(x) sin(x)=0; 2) v(cos(x)-v2/2) sin(x)=0; 3) vsin(x) (4-5cos(x)-2sin^2(x))=0. *Цитирирование задания со ссылкой на учебник производится исключительно в учебных целях для лучшего понимания разбора решения задания.

Ниже вариант решения задания из учебника Мерзляк, Номировский, Поляков 10 класс, Просвещение:
34.8. Решите уравнение:
1) vcos(x) sin(x)=0;
2) v(cos(x)-v2/2) sin(x)=0;
3) vsin(x) (4-5cos(x)-2sin^2(x))=0.
