Упражнение 34.12 ГДЗ Мерзляк 10 класс Углубленный уровень (Алгебра)
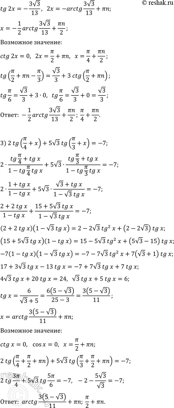
34.12. Решите уравнение: 1) tg(2x)+sin(2x)=8/3ctg(x); 2) tg(2x-?/3)=v3/3+3ctg(2x); 3) 2tg(?/4+x)+5v3tg(?/3+x)=-7. *Цитирирование задания со ссылкой на учебник производится исключительно в учебных целях для лучшего понимания разбора решения задания.


Ниже вариант решения задания из учебника Мерзляк, Номировский, Поляков 10 класс, Просвещение:
34.12. Решите уравнение:
1) tg(2x)+sin(2x)=8/3ctg(x);
2) tg(2x-?/3)=v3/3+3ctg(2x);
3) 2tg(?/4+x)+5v3tg(?/3+x)=-7.
