Упражнение 35.12 ГДЗ Мерзляк 10 класс Углубленный уровень (Алгебра)
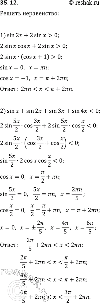
35.12. Решите неравенство: 1) sin(2x)+2sin(x) > 0; 2) sin(x)+sin(2x)+sin(3x)+sin(4x) 3) sin^2(x)+sin^2(2x)-sin^2(3x) > 0; 4) cos(x)cos(3x) *Цитирирование задания со ссылкой на учебник производится исключительно в учебных целях для лучшего понимания разбора решения задания.
Ниже вариант решения задания из учебника Мерзляк, Номировский, Поляков 10 класс, Просвещение:
35.12. Решите неравенство:
1) sin(2x)+2sin(x) > 0;
2) sin(x)+sin(2x)+sin(3x)+sin(4x)
3) sin^2(x)+sin^2(2x)-sin^2(3x) > 0;
4) cos(x)cos(3x)


