Упражнение 35.7 ГДЗ Мерзляк 10 класс Углубленный уровень (Алгебра)
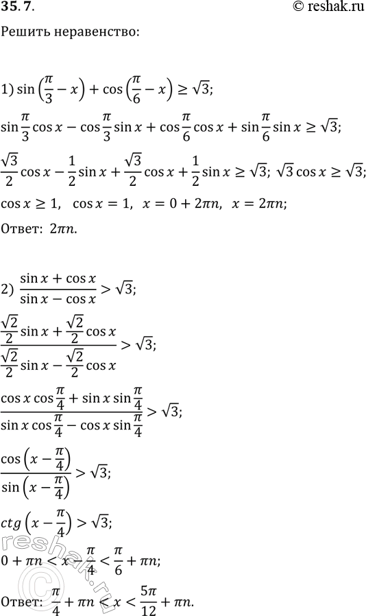
35.7. Решите неравенство: 1) sin(?/3-x)+cos(?/6-x)?v3; 2) (sin(x)+cos(x))/(sin(x)-cos(x)) > v3. *Цитирирование задания со ссылкой на учебник производится исключительно в учебных целях для лучшего понимания разбора решения задания.

Ниже вариант решения задания из учебника Мерзляк, Номировский, Поляков 10 класс, Просвещение:
35.7. Решите неравенство:
1) sin(?/3-x)+cos(?/6-x)?v3;
2) (sin(x)+cos(x))/(sin(x)-cos(x)) > v3.
