Упражнение 35.10 ГДЗ Мерзляк 10 класс Углубленный уровень (Алгебра)
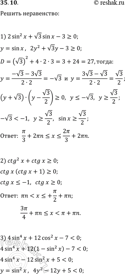
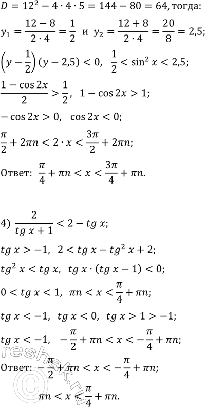
35.10. Решите неравенство: 1) 2sin^2(x)+v3sin(x)-3?0; 3) 4sin^4(x)+12cos^2(x)-7 2) ctg^2(x)+ctg(x)?0; 4) 2/(tg(x)+1) *Цитирирование задания со ссылкой на учебник производится исключительно в учебных целях для лучшего понимания разбора решения задания.
Ниже вариант решения задания из учебника Мерзляк, Номировский, Поляков 10 класс, Просвещение:
35.10. Решите неравенство:
1) 2sin^2(x)+v3sin(x)-3?0; 3) 4sin^4(x)+12cos^2(x)-7
2) ctg^2(x)+ctg(x)?0; 4) 2/(tg(x)+1)


