Упражнение 35.11 ГДЗ Мерзляк 10 класс Углубленный уровень (Алгебра)
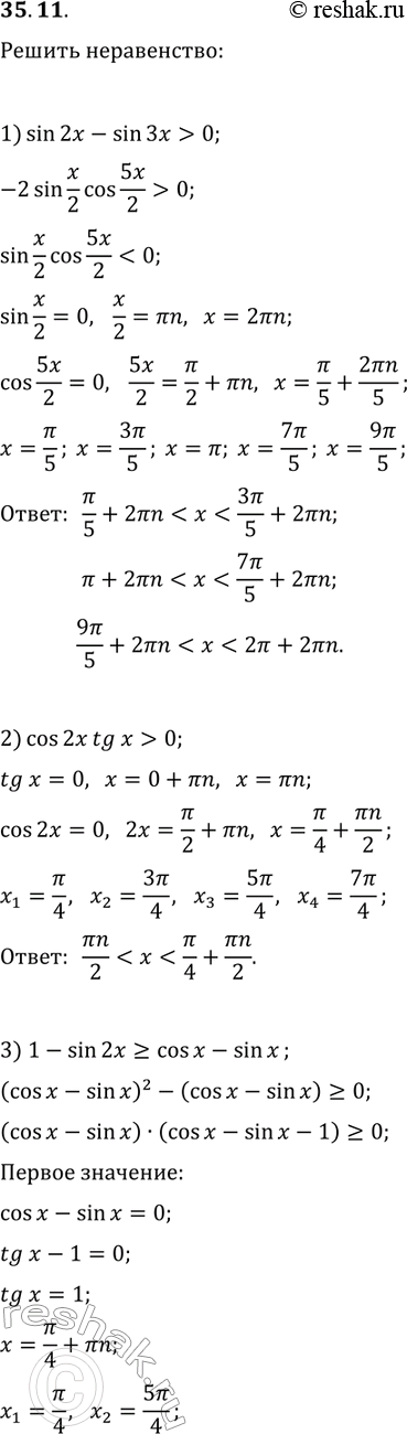
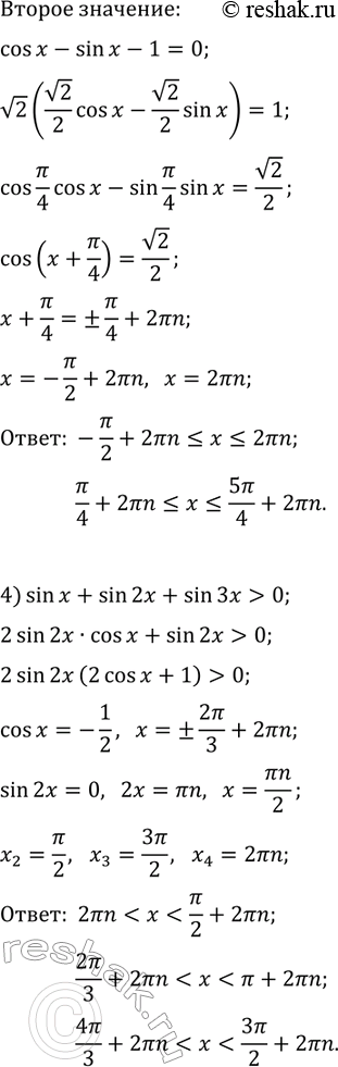
35.11. Решите неравенство: 1) sin(2x)-sin(3x) > 0; 3) 1-sin(2x)?cos(x)-sin(x); 2) cos(2x)tg(x) > 0; 4) sin(x)+sin(2x)+sin(3x) > 0. *Цитирирование задания со ссылкой на учебник производится исключительно в учебных целях для лучшего понимания разбора решения задания.


Ниже вариант решения задания из учебника Мерзляк, Номировский, Поляков 10 класс, Просвещение:
35.11. Решите неравенство:
1) sin(2x)-sin(3x) > 0; 3) 1-sin(2x)?cos(x)-sin(x);
2) cos(2x)tg(x) > 0; 4) sin(x)+sin(2x)+sin(3x) > 0.
