Упражнение 35.9 ГДЗ Мерзляк 10 класс Углубленный уровень (Алгебра)
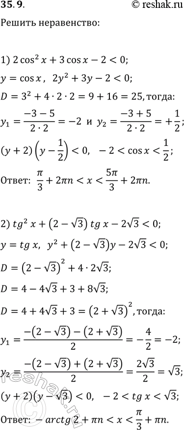
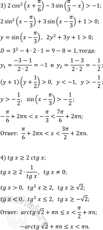
35.9. Решите неравенство: 1) 2cos^2(x)+3cos(x)-2 2) tg^2(x)+(2-v3)tg(x)-2v3 3) 2cos^2(x+?/6)-3sin(?/3-x) > -1; 4) tg(x)?2ctg(x). *Цитирирование задания со ссылкой на учебник производится исключительно в учебных целях для лучшего понимания разбора решения задания.
Ниже вариант решения задания из учебника Мерзляк, Номировский, Поляков 10 класс, Просвещение:
35.9. Решите неравенство:
1) 2cos^2(x)+3cos(x)-2
2) tg^2(x)+(2-v3)tg(x)-2v3
3) 2cos^2(x+?/6)-3sin(?/3-x) > -1;
4) tg(x)?2ctg(x).


