Упражнение 38.8 ГДЗ Мерзляк 10 класс Углубленный уровень (Алгебра)
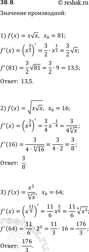
38.8. Вычислите значение производной функции f в точке x_0: 1) f(x)=xvx, x_0=81; 3) f(x)=x^2/x^(1/6), x_0=64. 2) f(x)=v(xvx), x_0=16; *Цитирирование задания со ссылкой на учебник производится исключительно в учебных целях для лучшего понимания разбора решения задания.

Ниже вариант решения задания из учебника Мерзляк, Номировский, Поляков 10 класс, Просвещение:
38.8. Вычислите значение производной функции f в точке x_0:
1) f(x)=xvx, x_0=81; 3) f(x)=x^2/x^(1/6), x_0=64.
2) f(x)=v(xvx), x_0=16;
