Упражнение 4.3 ГДЗ Мерзляк 10 класс Углубленный уровень (Алгебра)
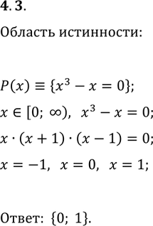
4.3. На множестве [0; +?) задан предикат P(x)?{x^3-x=0}. Укажите область истинности этого предиката. *Цитирирование задания со ссылкой на учебник производится исключительно в учебных целях для лучшего понимания разбора решения задания.

Ниже вариант решения задания из учебника Мерзляк, Номировский, Поляков 10 класс, Просвещение:
4.3. На множестве [0; +?) задан предикат
P(x)?{x^3-x=0}.
Укажите область истинности этого предиката.
