Упражнение 4.8 ГДЗ Мерзляк 10 класс Углубленный уровень (Алгебра)
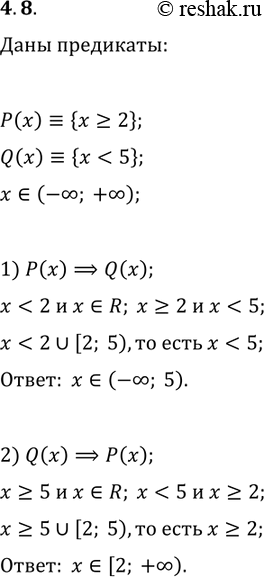
4.8. На множестве R заданы предикаты P(x)?{x?2}, Q(x)?(x *Цитирирование задания со ссылкой на учебник производится исключительно в учебных целях для лучшего понимания разбора решения задания.

Ниже вариант решения задания из учебника Мерзляк, Номировский, Поляков 10 класс, Просвещение:
4.8. На множестве R заданы предикаты P(x)?{x?2}, Q(x)?(x
