Упражнение 4.7 ГДЗ Мерзляк 10 класс Углубленный уровень (Алгебра)
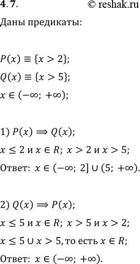
4.7. На множестве R заданы предикаты P(x)?{x > 2}, Q(x)?{x > 5}. Укажите область истинности предиката: 1) P(x)?Q(x); 2) Q(x)?P(x). *Цитирирование задания со ссылкой на учебник производится исключительно в учебных целях для лучшего понимания разбора решения задания.

Ниже вариант решения задания из учебника Мерзляк, Номировский, Поляков 10 класс, Просвещение:
4.7. На множестве R заданы предикаты P(x)?{x > 2}, Q(x)?{x > 5}. Укажите область истинности предиката: 1) P(x)?Q(x); 2) Q(x)?P(x).
