Упражнение 4.4 ГДЗ Мерзляк 10 класс Углубленный уровень (Алгебра)
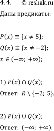
4.4. На множестве R заданы предикаты P(x)?{x?5), Q(x)?{x?-2}. Укажите область истинности предиката: 1) P(x)?Q(x); 2) P(x)?Q(x). *Цитирирование задания со ссылкой на учебник производится исключительно в учебных целях для лучшего понимания разбора решения задания.

Ниже вариант решения задания из учебника Мерзляк, Номировский, Поляков 10 класс, Просвещение:
4.4. На множестве R заданы предикаты P(x)?{x?5), Q(x)?{x?-2}. Укажите область истинности предиката: 1) P(x)?Q(x); 2) P(x)?Q(x).
