Упражнение 42.20 ГДЗ Мерзляк 10 класс Углубленный уровень (Алгебра)
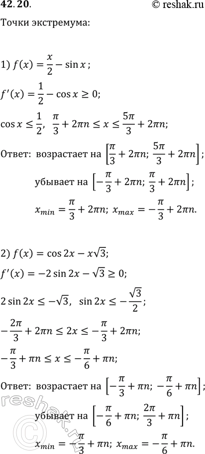
42.20. Найдите промежутки возрастания и убывания и точки экстремума функции: 1) f(x)=x/2-sin(x); 2) f(x)=cos(2x)-xv3. *Цитирирование задания со ссылкой на учебник производится исключительно в учебных целях для лучшего понимания разбора решения задания.

Ниже вариант решения задания из учебника Мерзляк, Номировский, Поляков 10 класс, Просвещение:
42.20. Найдите промежутки возрастания и убывания и точки экстремума функции:
1) f(x)=x/2-sin(x); 2) f(x)=cos(2x)-xv3.
