Упражнение 42.16 ГДЗ Мерзляк 10 класс Углубленный уровень (Алгебра)
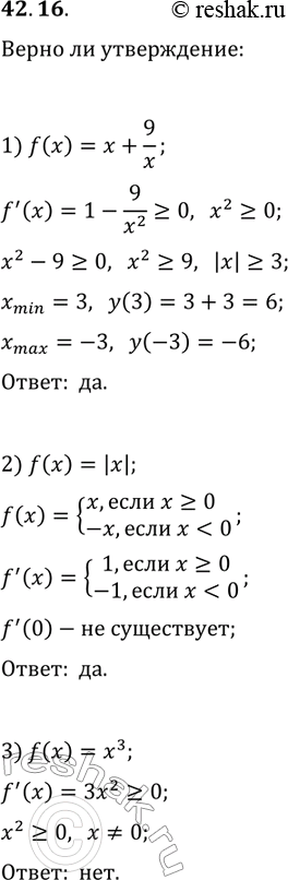
42.16. Верно ли утверждение: 1) значение функции в точке максимума может быть меньше значения функции в точке минимума; 2) функция в точке экстремума может быть недифференцируемой;

Ниже вариант решения задания из учебника Мерзляк, Номировский, Поляков 10 класс, Просвещение:
42.16. Верно ли утверждение:
1) значение функции в точке максимума может быть меньше значения функции в точке минимума;
2) функция в точке экстремума может быть недифференцируемой;
3) если производная в некоторой точке равна нулю, то эта точка является точкой экстремума функции?
