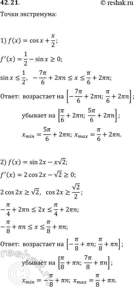
Упражнение 42.21 ГДЗ Мерзляк 10 класс Углубленный уровень (Алгебра)
42.21. Найдите промежутки возрастания и убывания и точки экстремума функции: 1) f(x)=cos(x)+x/2; 2) f(x)=sin(2x)-xv2. *Цитирирование задания со ссылкой на учебник производится исключительно в учебных целях для лучшего понимания разбора решения задания.

Ниже вариант решения задания из учебника Мерзляк, Номировский, Поляков 10 класс, Просвещение:
42.21. Найдите промежутки возрастания и убывания и точки экстремума функции:
1) f(x)=cos(x)+x/2; 2) f(x)=sin(2x)-xv2.
