Упражнение 43.2 ГДЗ Мерзляк 10 класс Углубленный уровень (Алгебра)
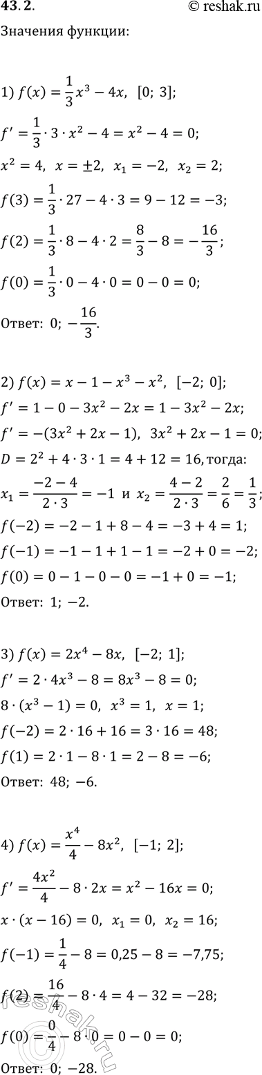
43.2. Найдите наибольшее и наименьшее значения функции f на указанном отрезке: 1) f(x)=1/3 x^3-4x, [0; 3]; 3) f(x)=2x^4-8x, [-2; 1]; 2) f(x)=x-1-x^3-x^2, [-2;
![Решение задачи: 43.2. Найдите наибольшее и наименьшее значения функции f на указанном отрезке: 1) f(x)=1/3 x^3-4x, [0; 3]; 3) f(x)=2x^4-8x, [-2; 1]; 2) f(x)=x-1-x^3-x^2, [-2;](solutions/algebra/10/635/1-43-2.png)
Ниже вариант решения задания из учебника Мерзляк, Номировский, Поляков 10 класс, Просвещение:
43.2. Найдите наибольшее и наименьшее значения функции f на указанном отрезке:
1) f(x)=1/3 x^3-4x, [0; 3]; 3) f(x)=2x^4-8x, [-2; 1];
2) f(x)=x-1-x^3-x^2, [-2; 0]; 4) f(x)=x^4/4-8x^2, [-1; 2].
