Упражнение 43.4 ГДЗ Мерзляк 10 класс Углубленный уровень (Алгебра)
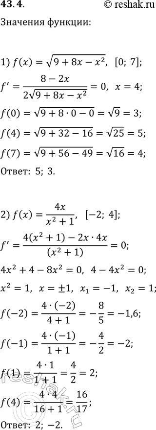
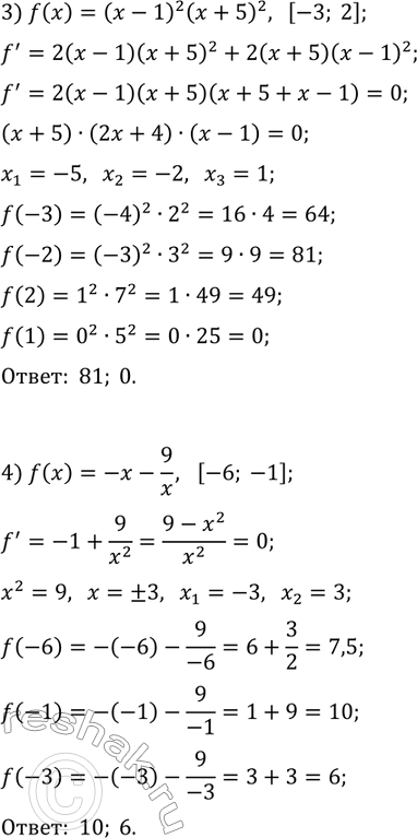
43.4. Найдите наибольшее и наименьшее значения функции f на указанном отрезке: 1) f(x)=v(9+8x-x^2), [0; 7]; 3) f(x)=(x-1)^2 (x+5)^2, [-3; 2]; 2) f(x)=4x/(x^2+1), [-2;
![Решение задачи: 43.4. Найдите наибольшее и наименьшее значения функции f на указанном отрезке: 1) f(x)=v(9+8x-x^2), [0; 7]; 3) f(x)=(x-1)^2 (x+5)^2, [-3; 2]; 2) f(x)=4x/(x^2+1), [-2;](solutions/algebra/10/635/1-43-4.png)
![Решение задачи: 43.4. Найдите наибольшее и наименьшее значения функции f на указанном отрезке: 1) f(x)=v(9+8x-x^2), [0; 7]; 3) f(x)=(x-1)^2 (x+5)^2, [-3; 2]; 2) f(x)=4x/(x^2+1), [-2;](solutions/algebra/10/635/2-43-4-.png)
Ниже вариант решения задания из учебника Мерзляк, Номировский, Поляков 10 класс, Просвещение:
43.4. Найдите наибольшее и наименьшее значения функции f на указанном отрезке:
1) f(x)=v(9+8x-x^2), [0; 7]; 3) f(x)=(x-1)^2 (x+5)^2, [-3; 2];
2) f(x)=4x/(x^2+1), [-2; 4]; 4) f(x)=-x-9/x, [-6; -1].
