Упражнение 5.28 ГДЗ Мерзляк 10 класс Углубленный уровень (Алгебра)
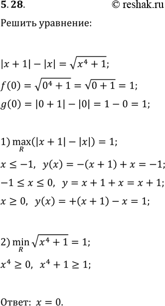
5.28. Решите уравнение |x+1|-|x|=v(x^4+1). *Цитирирование задания со ссылкой на учебник производится исключительно в учебных целях для лучшего понимания разбора решения задания.

Ниже вариант решения задания из учебника Мерзляк, Номировский, Поляков 10 класс, Просвещение:
5.28. Решите уравнение |x+1|-|x|=v(x^4+1).
