Упражнение 5.29 ГДЗ Мерзляк 10 класс Углубленный уровень (Алгебра)
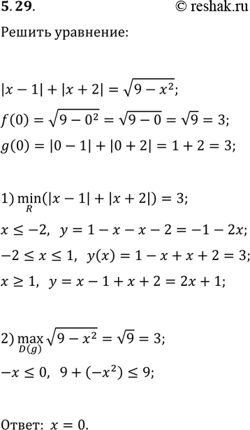
5.29. Решите уравнение |x-1|+|x+2|=v(9-x^2). *Цитирирование задания со ссылкой на учебник производится исключительно в учебных целях для лучшего понимания разбора решения задания.

Ниже вариант решения задания из учебника Мерзляк, Номировский, Поляков 10 класс, Просвещение:
5.29. Решите уравнение |x-1|+|x+2|=v(9-x^2).
